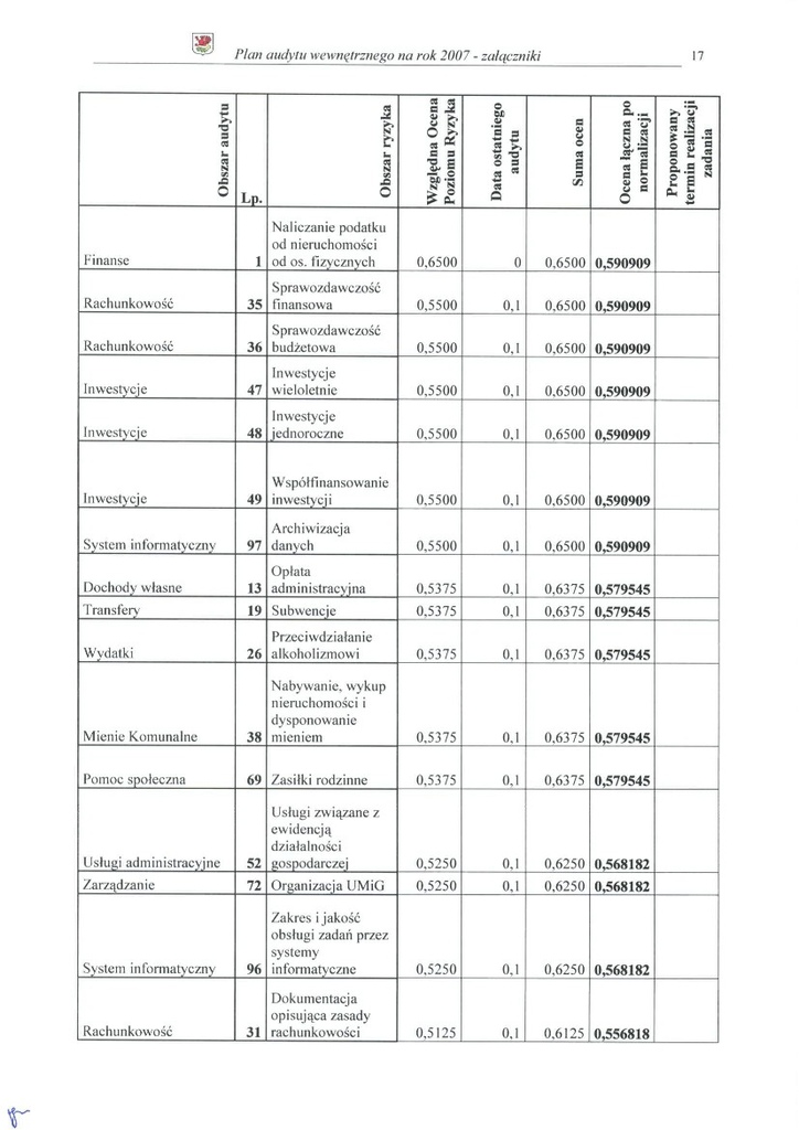
Wyniki wyszukiwania {{item.date}} Pozycje {{result.pagefrom}} do {{result.pageto}} z {{result.pageof}} pierwsza strona poprzednia strona następna strona ostatnia strona Plan audytu wewnętrznego na 2007 r 1. Plan audytu na 2007 r. [177748 bajtów] 2. Plan audytu na 2007 r. [220318 bajtów] 3. Plan audytu na 2007 r. [247671 bajtów] 4. Plan audytu na 2007 r. [227444 bajtów] 5. Plan audytu na 2007 r. [198581 bajtów] 6. Plan audytu na 2007 r. [197634 bajtów] 7. Plan audytu na 2007 r. [135361 bajtów] 8. Plan audytu na 2007 r. [159176 bajtów] 9. Plan audytu na 2007 r. [163726 bajtów] 10. Plan audytu na 2007 r. [162454 bajtów] 11. Plan audytu na 2007 r. [190282 bajtów] 12. Plan audytu na 2007 r. [179159 bajtów] 13. Plan audytu na 2007 r. [179412 bajtów] 14. Plan audytu na 2007 r. [139242 bajtów] 15. Plan audytu na 2007 r. [163938 bajtów] 16. Plan audytu na 2007 r. [143608 bajtów] 17. Plan audytu na 2007 r. [160925 bajtów] 18. Plan audytu na 2007 r. [164401 bajtów] 19. Plan audytu na 2007 r. [148188 bajtów] 20. Plan audytu na 2007 r. [114676 bajtów] 21. Plan audytu na 2007 r. [90751 bajtów] udostępnił: Administracja, wytworzono: 2006-12-07, odpowiedzialny/a: Administrator, wprowadził/a: Ryszard Stempiński, dnia: 2007-10-24 07:30:17 Lista poprzednich wersji: Wprowadził Data modyfikacji Rodzaj modyfikacji Ryszard Stempiński 2007-10-24 07:30:17 modyfikacja wartości Ryszard Stempiński 2007-04-03 14:48:19 modyfikacja wartości Ryszard Stempiński 2007-04-03 14:45:21 modyfikacja wartości